1 - Introducción a los grafos en estructuras de datos

Iniciamos el tutorial de grafos aclarando el vocabulario y los motivos por los cuales esta estructura es tan flexible en Python. A diferencia de las estructuras lineales o jerárquicas, los grafos modelan relaciones arbitrarias y permiten capturar redes, mapas, dependencias y flujos.

Este capítulo define qué es un grafo, la terminología básica, los tipos de problemas que habilita y varias aplicaciones reales que justifican dominarlo.

1.1 ¿Qué es un grafo?

Un grafo es un par G = (V, E) donde V es un conjunto finito de vértices (o nodos) y E es un conjunto de aristas que conectan pares de vértices. Las aristas pueden ser:

  • No dirigidas: el enlace no tiene sentido de dirección, la conexión sirve en ambos sentidos.
  • Dirigidas: también llamadas arcos, llevan una dirección origendestino.
  • Ponderadas: almacenan un valor numérico (peso o costo) asociado a la conexión.

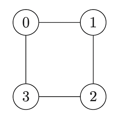
En Python es habitual representar un grafo con una matriz de adyacencia o una lista de adyacencia. El siguiente ejemplo muestra una matriz de adyacencia para un grafo no dirigido con 4 vértices:

n = 4
matriz = [
  [0, 1, 0, 1],  # conexiones del vertice 0
  [1, 0, 1, 0],
  [0, 1, 0, 1],
  [1, 0, 1, 0],
]

# Verificamos si 0 y 2 son adyacentes
print("0 y 2 son vecinos?", "si" if matriz[0][2] else "no")

Una matriz de adyacencia es un arreglo cuadrado de tamaño n x n donde n es la cantidad de vértices. Cada posición [u][v] indica si existe una arista entre los vértices u y v; en grafos no dirigidos la matriz es simétrica y la diagonal suele quedar en 0. Si almacenamos pesos, el valor numérico representa la distancia o costo de la conexión. Su consumo de memoria es O(n), por lo que resulta práctica en grafos densos (muchas aristas) y menos conveniente en grafos poco poblados.

El valor 1 indica la existencia de una arista entre dos vértices. En la matriz del ejemplo no hay arista directa entre 0 y 2 (el valor es 0), por eso la salida imprime no. Aun así, 0 puede llegar a 2 siguiendo dos saltos: primero hasta 1 y luego hasta 2 (0 → 1 → 2), o primero hasta 3 y luego hasta 2 (0 → 3 → 2). Con pequeñas variaciones este modelo soporta grafos dirigidos (matriz asimétrica) y grafos ponderados (almacenando el peso en lugar de 0/1).

Grafo no dirigido con cuatro vértices y aristas entre vecinos

1.2 Terminología básica

Usaremos los siguientes términos de forma consistente a lo largo del tutorial:

Vértices
Elementos o entidades del grafo. Se identifican con índices o etiquetas y guardan el estado que queremos modelar.
Aristas
Conexiones entre vértices. Pueden ser dirigidas o no dirigidas y opcionalmente llevar un peso.
Grado
Número de aristas incidentes a un vértice. En grafos dirigidos se distingue grado de entrada y grado de salida.
Peso
Valor asociado a una arista que representa distancia, costo, capacidad o prioridad.
Adyacencia
Relación que indica si dos vértices están conectados por una arista. En matrices se comprueba con matriz[u][v] != 0.
Camino y ciclo
Un camino es una secuencia de vértices conectados por aristas consecutivas. Un ciclo es un camino que empieza y termina en el mismo vértice sin repetir aristas.

1.3 ¿Qué problemas resuelven los grafos?

Gracias a su flexibilidad, los grafos permiten modelar y resolver problemas variados:

  • Rutas y optimización de caminos: búsqueda de rutas más cortas, caminos acotados por capacidad o por restricciones de visita.
  • Conectividad y componentes: determinar si un grafo está conectado, contar componentes o detectar puntos de articulación.
  • Ordenamiento topológico: programación de tareas con dependencias y detección de ciclos en grafos dirigidos.
  • Redes de flujo: maximizar el flujo entre origen y destino cumpliendo capacidades por arista.
  • Construcción de árboles generadores: encontrar subconjuntos mínimos de aristas que mantienen conectividad con costo total reducido.

1.4 Aplicaciones reales

Los grafos aparecen en numerosos dominios prácticos:

  • Redes de computadoras: routers y switches como vértices, enlaces como aristas ponderadas por ancho de banda o latencia.
  • Sistemas de navegación: mapas viales modelados como grafos ponderados para calcular rutas por distancia o tiempo.
  • Recomendación y redes sociales: usuarios como nodos y relaciones como aristas; los caminos miden cercanías o influencia.
  • Compilación y analizador de dependencias: grafos dirigidos que representan módulos y sus requisitos para ordenar compilaciones.
  • Logística y cadenas de suministro: centros de distribución conectados por rutas que se optimizan por costo o capacidad.

Con estos conceptos cubiertos podremos implementar representaciones en Python y avanzar hacia algoritmos de recorrido, búsqueda y optimización sobre grafos.